파일:상태가 많은 신호 체계.jpg

PhiLoSci Wiki
Zolaist (토론 | 기여)님의 2025년 2월 10일 (월) 09:50 판
(차이) ← 이전 판 | 최신판 (차이) | 다음 판 → (차이)
둘러보기로 가기 검색하러 가기

원본 파일(1,714 × 767 픽셀, 파일 크기: 82 KB, MIME 종류: image/jpeg)

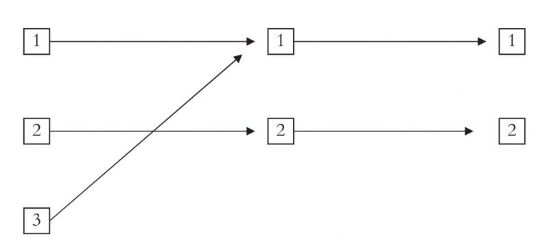
신호 및 행위에 비해 상태가 많은 경우, 신호 체계는 상태들을 적절하게 분할한 범주 체계를 만들어낸다.

파일 역사

날짜/시간 링크를 클릭하면 해당 시간의 파일을 볼 수 있습니다.

날짜/시간섬네일크기사용자설명
현재2025년 2월 10일 (월) 09:502025년 2월 10일 (월) 09:50 판의 섬네일1,714 × 767 (82 KB)Zolaist (토론 | 기여)

다음 문서 1개가 이 파일을 사용하고 있습니다:

메타데이터